绿色无灰分散剂——自由基一步法聚异丁烯丁二酰亚胺
康泰“热加合法聚异丁烯丁二酰亚胺”——绿色无灰分散剂产品
以不含氯、环保、颜色浅,与添加剂相容性好等特点越来越受到国内外客户和环保人士的关注。
目前丁二酰亚胺分散剂已广泛应用于润滑油、燃料油、化工产品、印刷涂料及矿产开发等国民经济各个领域,已成为一种不可或缺的功能性添加剂产品。由于丁二酰亚胺分散剂与国民经济和百姓生活密切相关,其生产使用过程中的安全与环保性能正受到越来越广泛的关注。
长期以来,美国与欧洲并无行业统一的丁二酰亚胺分散剂标准,而是由各企业单独制定各自的企业标准,并单独进行相关的材料安全性(MSDS)认证。近年来,随着公众对大宗化学品安全性与环保的日益关注,美国国家环保局(EPA)对包括丁二酰亚胺分散剂在内的大宗化学品提出了更严格的安全性与环保性要求。为此,美国化学协会(ACC)石油添加剂委员会组织行业成员共同进行研究,期望给丁二酰亚胺分散剂制定出一个共同的类别(category),以便更好地维护公众知情权。而ACC所进行的工作更侧重于丁二酰亚胺分散剂的化学结构与环境、安全性能,对丁二酰亚胺分散剂的使用性能指标则不涉及。
我国现行丁二酰亚胺分散剂标准由原兰州炼油化工总厂和锦州石油化工公司共同起草,达到了国际一般水平,产品的氯含量要求控制在0 .22% 以下,氯含量的限制是因为氯含量高的分散剂会腐蚀高档柴油发动机,且在使用过程中会将致癌物质二恶英排放到空气中,影响人类健康。为了适应这种国内外形势的变化和人类环保的要求,锦州康泰润滑油添加剂有限公司历经一年半的时间研发、生产出“自由基一步法聚异丁烯丁二酰亚胺”——绿色无灰分散剂产品,其产品以不含氯、环保、颜色浅,与添加剂相容性好等特点受到国内外客户和环保人士的好评。
无灰分散剂自上个世纪50年代末期为解决汽车数量猛增,出现交通拥挤而频繁停停开开的现象,环境污染严重,汽车开始加装PVC阀,导致汽油机低温油泥严重堵塞油路问题而被研制的。金属清净剂由于分散性较弱是难以有效控制低温油泥的。最初由美国杜邦公司研制的甲基丙烯酸酯类聚合型无灰分散剂可以有效阻止低温油泥的生成,但热稳定性很差,随即被丁二酰亚胺类无灰分散剂所取代。丁二酰亚胺是一系列石油添加剂研制成果的综合运用,主要是:
1)分子量1000~3000左右的聚异丁烯用作分散剂的长链亲油基时效果较好。用作防锈剂的十二烯基丁二酸侧链加长后清净分散剂的事实正说明这一点。
2)丁二酰化反应是将极性基团与烃基连接的简便方法。
3)碱性氮的存在对低温沉积物由抑制效果。
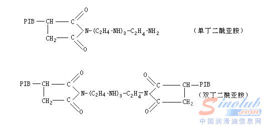
因此,丁二酰亚胺无灰分散剂的化学结构基本可分为下列三个部分(以单丁二酰亚胺为例):

多烯多胺一般用三乙烯四胺或四乙烯五胺。
正是这种特殊结构,在油中极易形成胶团,具有极强的增溶作用,因而有效地保证了润滑油的低温分散性能,尤其有效解决汽油机中的低温油泥问题。但是多烯多胺碱性较弱,因而中和能力差,其极性也不如金属清净剂,也缺乏抗氧化、防锈和抗乳化能力。尤其是高温稳定性不好。
为了提高丁二酰亚胺的高温稳定性,对丁二酰亚胺的结构进行了一系列的研究改进,即:在合成反应中加大烯基丁二酸酐与多烯多胺的比例,可制得双丁二酰亚胺和多丁二酰亚胺。结构式如下:


后两者的高温稳定性得到明显改善,单其低温分散性稍由损失,但仍具有较好的分散作用。丁二酰亚胺与高碱性磺酸盐恰当复合,可以得到极佳的协和效应,因而广泛应用于车用汽油机油、柴油机油,铁路柴油机油、船用柴油机油、航空润滑油等。
丁二酰亚胺无灰分散剂的生产工艺大致分为下列几个工序:
烃化:用聚异丁烯与马来酸酐加合,可有不同方案:直接热加合,氯化加合,自由基法等。
胺化:聚异丁烯马来酸酐加合物与多烯多胺的脱水反应。此步可控制加料比例来掌握产品结构类型。
精制:分离溶剂及机械杂质的过程。
表-1 三种生产工艺的简要比较
项目
氯化法
热加合法
自由基一步法
原料PIB
普通PPIB
高活性PIB
高活性PIB
催化剂
氯气
无
过氧化物
最高反应温度 ℃
190
235
165
反应时间 h
中
长
短
反应设备材质
蒙乃尔合金
不锈钢
不锈钢
产品质量
颜色深、氯含量高
氯低于10ppm、颜色较浅,
不含氯、颜色浅、
产品成本
低
高
低
到目前为止, 丁二酰亚胺分散剂仍是车用汽油机油、柴油机油的主要添加剂之一, 其用量一般为1%~6%, 主要作用是抑制低温油泥、高温积炭和漆膜生成。丁二酰亚胺也是多级铁路内燃机车油的主要添加剂之一。双丁二酰亚胺具有较好的热稳定性、氧化安定性、高温分散性, 更适合于多级四代油。由于船用油尤其是中速机油和系统油不免要受到水的污染, 而丁二酰亚胺的抗乳化性能相对较差, 因此, 无灰剂的用量相对较少, 且要注意品种选择。丁二酰亚胺也是二冲程发动机油的至关重要的添加剂,无灰剂对二冲程油燃烧产生的漆膜、积炭和排气管内的沉积物有很好的胶溶和分散作用。同时,丁二酰亚胺在以下产品领域也有着广泛的应用:
燃油清净剂
燃油清净剂包括汽油和柴油清净剂, 发达国家已普遍推广使用, 国内目前以汽油清净剂为主,柴油清净剂尚处研制、试生产阶段。汽油清净剂是一种具有清洁、保洁、抗氧、破乳和防锈性能的多功能添加剂。丁二酰亚胺与酰胺、聚醚胺、聚异丁烯胺是目前公认的四类汽油清净剂, 不过, 最适合的丁二酰亚胺应是采用自由基一步法和热烃化工艺生产的,因为其不含氯。我国汽油清净剂研制、应用起步较晚, 但发展较快, 目前已有第三代进气阀沉积物清净剂,国外已发展到第四代燃烧室积炭清净剂。在国家质量技术监督局颁布的《车用无铅汽油》中已明确规定必须加入有效的清净剂, 我国燃油清净剂市场前景广阔。
炸药乳化剂
油包水型乳化剂是乳化炸药缺一不可的关键组份。国内外乳化炸药的研制与生产中, 广泛使用失水山梨糖醇单油酸醋商品名为司本一作乳化剂, 但司本一的高温乳化效果不佳, 乳胶体储存稳定性较差。与司本一相比, 丁二酰亚胺分子量大, 粘度较高, 具有较强的抗氧化抗老化性能,耐酸碱, 不易变质, 且具有优良的乳化效果, 是生产乳化炸药的一种优良乳化剂。用它作乳化剂制备的不同品种的乳化炸药, 其各项性能均比以司本一作乳化剂制备的相应的乳化炸药好, 特别是稳定贮存期提高一倍。丁二酰亚胺乳化剂选用的聚异丁烯最好是低分子量产品, 如平均分子量1000~1300,多乙烯多胺最好选用四乙烯五胺或三乙烯四胺。
阻垢剂
在石油炼制和石油化工过程中, 流体流经的设备如预热、换热器、加热炉、分离装置和配管等均附着生成污垢。在采油和运输设备表面上也存在沥青质、树脂和石蜡的沉积,特别是重质原油的开采和加工将加剧污垢沉积。为了防止积垢, 采用化学药剂即阻垢剂抑制结垢是一种有效选择。丁二酰亚胺能与石油馏份混合, 对金属内壁有良好的湿润性能。由于极性氨基容易吸附于金属内表面而形成保护膜, 所以既有防腐蚀性又起着润滑和除锈作用。另外, 有机胺是烯烃的有效阻聚剂, 可以消除烯烃的高分子化, 抑制沉积物的粘结。
防锈剂
无灰防锈剂具有较强的酸中和能力及防锈性能。兼备极压抗磨性能,可有效提高油品的最大无卡咬负荷(PB值),与硫磷型复合剂佳,同时可减少其它极压抗磨剂的用量,对抗磨性、抗腐蚀性无不良影响。

更多资讯,欢迎扫描上方二维码关注中国润滑油信息网微信公众号(sinolub)



横跨五国六站,森麒麟护航2025DRIFTKING漂移大师赛欧洲站完美收官
中国石化发布全球首个润滑剂领域PCR标准
长城润滑油以航天科技与大国匠心护航中国载人航天新征程
黄金搭档赋能高端船电!悍虎船用发动机专用机油 CI-4专业适配玉柴 YC16VTF 发动机!
金奖动力 + 专业润滑!YC自动变速箱油 ATFⅢ专业适配玉柴IE-POWER混合动力总成!
“三桶油”齐发三季报 营收增长:日赚9.05亿元